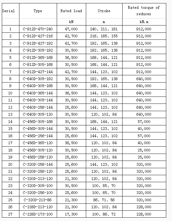
API C Serie Pumping Unit
APl C series of oil pumping unit is a kind of conventional beam pumping unit with the crank balanced method , and it is the most common
and in the most extensive application of ground power device in the rod oil production.
The product conforms to the AP| 11E
1.The using of modular design and virtual manufacturing technology to make product structure optimizated and parts with high degree of
standardization,generalization, seriation"
2.Studying on finite element analysis of key structure with stable performance and high reliability
3. The speed reducer adopts symmetrical shunt type involute or double circular-arc heringbone gear transmission, with good sealing, low
noise,stable operation, reliable and durable
4.the operation is simple, easy maintenance and long service life
